Come usare DAMSEL
Tradotto con IA
Questa pagina fornisce informazioni generali e non sostituisce la consultazione di un medico. Consulta sempre un medico prima di assumere qualsiasi medicinale. Rivolgiti ai servizi di emergenza se i sintomi sono gravi.
Mostra originaleContenuto del foglietto illustrativo
Damsel compresse rivestite con film
Estradiolo valerato/Dienogest
Medicinale equivalente
Legga attentamente questo foglio prima di prendere questo medicinale perché contiene importanti
informazioni per lei.
- Conservi questo foglio. Potrebbe avere bisogno di leggerlo di nuovo.
- Se ha qualsiasi dubbio, si rivolga al medico o al farmacista.
- Questo medicinale è stato prescritto soltanto per lei. Non lo dia ad altre persone, anche se i sintomi della malattia sono uguali ai suoi, perché potrebbe essere pericoloso.
- Se si manifesta un qualsiasi effetto indesiderato, compresi quelli non elencati in questo foglio, si rivolga al medico o al farmacista. Vedere paragrafo 4.
Cose importanti da sapere sui contraccettivi ormonali combinati (COC):
- Sono uno dei metodi contraccettivi reversibili più affidabili, se usati correttamente;
- Aumentano leggermente il rischio che si formino coaguli sanguigni nelle vene e nelle arterie, specialmente durante il primo anno di assunzione o quando si riprende un contraccettivo ormonale combinato dopo una pausa di 4 o più settimane;
- Faccia attenzione e si rivolga al medico se pensa di avere i sintomi di un coagulo sanguigno (vedere paragrafo 2 “Coaguli sanguigni”).
Contenuto di questo foglio:
- 1. Cos’è Damsel e a cosa serve
- 2. Cosa deve sapere prima di prendere Damsel
- 3. Come prendere Damsel
- 4. Possibili effetti indesiderati
- 5. Come conservare Damsel
- 6. Contenuto della confezione e altre informazioni
1. Cos’è Damsel e a cosa serve
- Damsel è una pillola contraccettiva e serve per prevenire la gravidanza.
- Ogni compressa attiva colorata contiene una piccola quantità di ormoni femminili, estradiolo valerato o estradiolo valerato combinato con dienogest.
- Le 2 compresse bianche non contengono alcun principio attivo e sono chiamate compresse inattive.
- Le pillole contraccettive che contengono due ormoni sono chiamate “pillole combinate”.
2. Cosa ha bisogno di sapere prima di prendere Damsel
Note generali
Prima di iniziare a usare Damsel deve leggere le informazioni sui coaguli sanguigni al paragrafo 2.
È particolarmente importante che legga i sintomi di un coagulo sanguigno _- vedere paragrafo 2
“Coaguli sanguigni”.
Prima di prendere Damsel, il medico le farà alcune domande riguardo alla sua storia personale di
salute e a quella dei suoi familiari. Il medico le misurerà anche la pressione arteriosa e, in base alla
sua situazione personale, potrà anche effettuare altri esami.
Damsel o in cui l’affidabilità di Damsel può risultare diminuita. In tali situazioni non deve avere
rapporti sessuali oppure deve adottare misure contraccettive aggiuntive non ormonali, ad esempio
usareil profilattico o un altro metodo di barriera. Non usi il metodo del ritmo o il metodo della
temperatura basale. Tali metodi possono risultare inaffidabili, in quanto Damsel altera le variazioni
mensili della temperatura corporea e del muco cervicale.
Damsel, come tutti i contraccettivi ormonali, non offre alcuna protezione contro l’infezione da
HIV (AIDS) o da altre malattie a trasmissione sessuale.
Quando non deve prendere Damsel
Non usi Damsel se presenta una delle condizioni elencate sotto. Se presenta una qualsiasi delle
condizioni elencate sotto, si rivolga al medico. Il medico discuterà con lei degli altri metodi di controllo
delle nascite che potrebbero essere più adatti
Non prenda Damsel:
- se ha (o ha mai avuto) un coagulo sanguignoin un vaso della gamba (trombosi venosa profonda, TVP), del polmone (embolia polmonare, EP) o di altri organi;
- se sa di avere un disturbo che colpisce la coagulazione del sangue, come carenza di proteina C, carenza di proteina S, carenza di antitrombina-III, fattore V di Leiden o anticorpi antifosfolipidi;
- se deve sottoporsi a un’operazione o se starà coricata per un lungo periodo (vedere paragrafo “Coaguli sanguigni”);
- se ha mai avuto un attacco cardiacoo un ictus;
- se ha (o ha mai avuto) un’ angina pectoris(una condizione che causa un forte dolore al torace e che può rappresentare un primo segno di attacco cardiaco) o un attacco ischemico transitorio(TIA - sintomi di ictus temporaneo);
- se ha una delle seguenti malattie, che potrebbe aumentare il rischio che si formino coaguli nelle arterie:
- diabetegrave con lesione dei vasi sanguigni
- pressione arteriosamolto alta
- livello molto alto di grassi(colesterolo o trigliceridi) nel sangue
- una malattia nota come iperomocisteinemia;
- se ha (o ha mai avuto) un tipo di emicraniachiamata “emicrania con aura”;
- se ha (o ha mai avuto) una malattia del fegatoe la funzione del suo fegato è ancora anormale;
- se ha (o ha mai avuto) un tumore del fegato;
- se ha (o ha mai avuto) un cancro o sospetta di avere un cancro della mammella o degliorgani genitali;
- se presenta sanguinamenti vaginali non spiegabili;
- se è allergica(ipersensibile) all’estradiolo valerato o al dienogest o a uno qualsiasi degli eccipienti di questo medicinale (elencati al paragrafo 6). Questo può provocare prurito, eruzione cutanea o gonfiore.
Avvertenze e precauzioni
Quando deve rivolgersi a un medico?
Si rivolga urgentemente a un medico
- se osserva segni possibili di un coagulo sanguigno che possono indicare che soffre di un coagulo sanguigno nella gamba (trombosi venosa profonda), di un coagulo sanguigno nel polmone (embolia polmonare), di un attacco cardiaco o di un ictus (vedere il paragrafo seguente "Coaguli sanguigni").
Per una descrizione dei sintomi di questi gravi effetti indesiderati vada al paragrafo “Come
riconoscere un coagulo sanguigno”.
Informi il medico se una qualsiasi delle seguenti condizioni si applica al suo caso.
In alcune situazioni deve fare particolare attenzione quando usa Damsel o qualsiasi altra pillola
combinata, e può essere necessario che il medico la visiti regolarmente. Se questa condizione compare
o peggiora mentre sta usando Damsel deve informare il medico:
- se un parente stretto ha o ha avuto un cancro della mammella;
- se ha una patologia del fegato o della cistifellea;
- se ha ittero;
- se ha il diabete;
- se soffre di depressione;
- se ha la malattia di Crohn o la colite ulcerosa (malattia intestinale infiammatoria cronica);
- se ha il lupus eritematoso sistemico (LES - una malattia che colpisce il sistema di difese naturali);
- se ha la sindrome emolitica uremica (SEU - un disturbo della coagulazione del sangue che causa insufficienza renale);
- se ha l’anemia falciforme (una malattia ereditaria dei globuli rossi);
- se ha livelli elevati di grassi nel sangue (ipertrigliceridemia) o un'anamnesi familiare positiva per tale condizione. L’ipertrigliceridemia è stata associata a un maggior rischio di sviluppare pancreatiti (infiammazioni del pancreas);
- se deve sottoporsi a un’operazione o se starà coricata per un lungo periodo (vedere paragrafo 2 “Coaguli sanguigni”);
- se ha appena partorito, il suo rischio di sviluppare coaguli sanguigni è maggiore. Chieda al medico quanto tempo dopo il parto può iniziare a prendere Damsel;
- se ha un’infiammazione alle vene poste sotto la pelle (tromboflebite superficiale);
- se ha le vene varicose;
- se ha epilessia (vedere paragrafo “Altri medicinali e Damsel”);
- se ha una malattia che è apparsa per la prima volta durante la gravidanza o durante un precedente uso di ormoni sessuali, per esempio perdita dell’udito, porfiria (una malattia del sangue), herpes gestationis (eruzione cutanea con vescicole durante la gravidanza), corea di Sydenham (una malattia dei nervi nella quale si verificano improvvisi movimenti del corpo);
- se ha (o ha avuto) pigmentazione a chiazze giallo-brune, note come “maschera gravidica”, specialmente sul viso (cloasma). In tal caso eviti l’esposizione diretta alla luce solare o ai raggi ultravioletti;
- se soffre di angioedema ereditario o acquisito. Interrompa l’assunzione di Damsel e consulti immediatamente il medico se nota sintomi come gonfiore del viso, lingua e/o faringe e/o difficoltà a deglutire o orticaria con difficoltà di respirazione, che sono indicativi di un angioedema. I medicinali contenenti estrogeni possono indurre o aggravare i sintomi dell’angioedema;
- se ha insufficienza cardiaca o renale.
Consulti il medico prima di assumere Damsel.
Informazioni supplementari per categorie particolari di pazienti
Utilizzo nei bambini:
L’uso di Damsel non è indicato nelle donne che non hanno ancora avuto il loro primo flusso mestruale.
COAGULI SANGUIGNI
L’uso di un contraccettivo ormonale combinato come Damsel causa un aumento del rischio di sviluppare
un coagulo sanguigno rispetto al non utilizzo. In rari casi un coagulo sanguigno può bloccare i vasi
sanguigni e causare problemi gravi.
I coaguli sanguigni possono svilupparsi
- nelle vene (condizione chiamata “trombosi venosa”, "tromboembolia venosa” o TEV);
- nelle arterie (condizione chiamata “trombosi arteriosa”, “tromboembolia arteriosa” o TEA).
La guarigione dai coaguli sanguigni non è sempre completa. Raramente, si possono verificare effetti
gravi di lunga durata o, molto raramente, tali effetti possono essere fatali.
È importante ricordare che il rischio globale di un coagulo sanguigno pericoloso associato a
Damsel è basso.
COME RICONOSCERE UN COAGULO SANGUIGNO
Si rivolga immediatamente a un medico se nota uno qualsiasi dei seguenti segni o sintomi.
Presenta uno di questi segni? Di cosa soffre probabilmente?
- gonfiore a una gamba o lungo una vena della gamba o del piede, specialmente se accompagnato da: o dolore o sensibilità alla gamba che può essere avvertito solo in piedi o camminando; o maggiore sensazione di calore nella gamba colpita; o variazione del colore della pelle della gamba, come pallore, colorazione rossastra o bluastra. Trombosi venosa profonda
- mancanza di respiro improvvisa e inspiegabile o respirazione accelerata;
- tosse improvvisa senza una causa evidente, con possibile emissione di sangue;
- dolore acuto al torace che può aumentare quando si respira profondamente;
- stordimento grave o capogiri;
- battito cardiaco accelerato o irregolare;
- forte dolore allo stomaco.
Se non è sicura, informi il medico in quanto alcuni di questi sintomi
come la tosse o la mancanza di respiro possono essere scambiati per
una condizione più lieve come un’infezione delle vie respiratorie (ad
es. un “comune raffreddore”).
Embolia polmonare
Sintomi che si verificano più frequentemente in un occhio:
- perdita immediata della vista o
- offuscamento indolore della vista che può progredire a perdita della vista Trombosi della vena retinica (coagulo sanguigno nell’occhio)
- dolore, fastidio, sensazione di pressione o di pesantezza al torace;
- sensazione di schiacciamento o di pienezza al torace, a un braccio o sotto lo sterno;
- sensazione di pienezza, indigestione o soffocamento;
- fastidio alla parte superiore del corpo, che si irradia a schiena, mascella, gola, braccia e stomaco;
- sudorazione, nausea, vomito o capogiri;
- estrema debolezza, ansia o mancanza di respiro;
- battiti cardiaci accelerati o irregolari; Attacco cardiaco
| Ictus o c a m |
| r Coaguli sanguigni che a bloccano altri vasi sanguigni |
COAGULI SANGUIGNI IN UNA VENA
Cosa può accadere se si forma un coagulo sanguigno in una vena?
- L’uso di contraccettivi ormonali combinati è stato correlato a un aumento del rischio di formazione di coaguli sanguigni nelle vene (trombosi venosa). Questi effetti collaterali, però, sono rari. Nella maggior parte dei casi essi si verificano nel primo anno di utilizzo di un contraccettivo ormonale combinato.
- Se un coagulo sanguigno si forma in una vena della gamba o del piede, può causare una trombosi venosa profonda (TVP).
- Se un coagulo sanguigno si sposta dalla gamba e si colloca nel polmone, può causare un’embolia polmonare.
- Molto raramente il coagulo può formarsi in un altro organo come l’occhio (trombosi della vena retinica).
Quando è massimo il rischio di sviluppare un coagulo sanguigno in una vena?
Il rischio di sviluppare un coagulo sanguigno in una vena è massimo durante il primo anno in cui si
assume per la prima volta un contraccettivo ormonale combinato. Il rischio può essere anche superiore
se si ricomincia ad assumere un contraccettivo ormonale combinato (lo stesso farmaco o un farmaco
diverso) dopo una pausa di 4 o più settimane.
Dopo il primo anno, il rischio si riduce ma è sempre leggermente superiore rispetto al non utilizzo di un
contraccettivo ormonale combinato.
Quando si interrompe l’assunzione di Damsel, il rischio di sviluppare un coagulo sanguigno torna ai
livelli normali entro alcune settimane.
Qual è il rischio di sviluppare un coagulo sanguigno?
Il rischio dipende dal suo rischio naturale di TEV e dal tipo di contraccettivo ormonale combinato che
sta assumendo.
Il rischio globale di sviluppare un coagulo sanguigno nella gamba o nel polmone (TVP o EP) con
Damsel è basso.
- Su 10 000 donne che non usano alcun contraccettivo ormonale combinato e che non sono incinta, circa 2 svilupperanno un coagulo sanguigno in un anno.
- Su 10 000 donne che usano un contraccettivo ormonale combinato contenente levonorgestrel, noretisterone o norgestimato, circa 5-7 svilupperanno un coagulo sanguigno in un anno.
- Il rischio di sviluppare un coagulo sanguigno con Damsel è circa lo stesso degli altri contraccettivi ormonali combinati compresi i contraccettivi contenenti levonorgestrel.
- Il rischio che si formi un coagulo sanguigno dipende dalla sua anamnesi medica (vedere sotto “Fattori che aumentano il rischio di formazione di un coagulo sanguigno”).
Fattori che aumentano il rischio di sviluppare un coagulo sanguigno in una vena
Il rischio di sviluppare un coagulo sanguigno con Damsel è basso ma alcune condizioni ne causano un
aumento. Il suo rischio è maggiore:
- se è fortemente sovrappeso (indice di massa corporea o IMC superiore a 30 kg/m );
- se un suo parente stretto ha avuto un coagulo sanguigno e in una gamba, nel polmone o in un altro organo in giovane età (ad esempio, inferiore a circa 50 anni). In questo caso lei potrebbe avere un disturbo ereditario della coagulazione del sangue;
- se deve sottoporsi a un’operazione o se deve restare coricata per un lungo periodo a causa di una lesione o di una malattia o se ha una gamba ingessata. Potrebbe essere necessario interrompere l’assunzione di Damsel alcune settimane prima dell’intervento o nel periodo in cui è meno mobile. Se deve interrompere l’assunzione di Damsel, chieda al medico quando può iniziare a prenderlo nuovamente;
- quando invecchia (soprattutto oltre i 35 anni);
- se ha partorito meno di alcune settimane fa.
Il rischio di sviluppare un coagulo sanguigno aumenta quando lei presenta più condizioni di questo
tipo.
I viaggi in aereo (di durata >4 ore) possono aumentare temporaneamente il rischio che si formi un
coagulo sanguigno, soprattutto se lei ha alcuni degli altri fattori di rischio elencati.
È importante che informi il medico se una qualsiasi di queste condizioni si applica al suo caso, anche
se non ne è sicura. Il medico può decidere di farle interrompere l’assunzione di Damsel.
Se una qualsiasi delle condizioni di cui sopra cambia mentre sta usando Damsel, ad esempio se un
parente stretto presenta una trombosi senza alcun motivo noto o se lei aumenta molto di peso, contatti il
medico.
| m Rischio di sviluppare un coagulo sanguigno in un anno | |
| Donne che non usano una pillola ormonale combinata e che non sono in gravidanza | r Circa 2 donne su 10 000 |
| Donne che usano una pillola contraccettiva ormonale combinata contenente levonorgestrel, noretisterone o norgestimato | a Circa 5-7 donne su 10 000 F |
| Donne che usano Damsel | l Circa lo stesso degli altri contraccettivi ormonali e combinati compresi i contraccettivi contenenti levonorgestrel. |
COAGULI SANGUIGNI IN UN’ARTERIA
Cosa può accadere se si forma un coagulo sanguigno in un’arteria?
Come i coaguli sanguigni in una vena, i coaguli in un’arteria possono causare problemi gravi, ad
esempio, possono causare un attacco cardiaco o un ictus.
Fattori che aumentano il rischio di sviluppare un coagulo sanguigno in un’arteria
È importante osservare che il rischio di attacco cardiaco o di ictus associato all'uso di Damsel è molto
basso ma può aumentare:
- all’aumentare dell’età (oltre i 35 anni);
- se fuma. Quando usa un contraccettivo ormonale combinato come Damsel è consigliabile che smetta di fumare. Se non riesce a smettere di fumare e se ha più di 35 anni, il medico può consigliarle di usare un tipo diverso di contraccettivo;
- se è sovrappeso;
- se ha la pressione sanguigna alta;
- se un suo parente stretto ha avuto un attacco cardiaco o un ictus in giovane età (inferiore a circa 50 anni). In questo caso potrebbe anche lei presentare un rischio elevato di attacco cardiaco o ictus;
- se lei, o un suo parente stretto, ha un livello elevato di grassi nel sangue (colesterolo o trigliceridi);
- se soffre di emicrania, specialmente di emicrania con aura;
- se ha qualche problema al cuore (difetto valvolare, un disturbo del ritmo cardiaco chiamato fibrillazione atriale);
- se ha il diabete.
Se presenta più di una di queste condizioni o se una di esse è particolarmente grave, il rischio di
sviluppare un coagulo sanguigno può essere ancora superiore.
Se una qualsiasi delle condizioni di cui sopra cambia mentre sta usando Damsel, ad esempio se inizia a
fumare, se un parente stretto presenta una trombosi senza alcun motivo noto o se aumenta molto di peso,
contatti il medico.
Damsel e il cancro
Il cancro della mammellaè stato osservato con una frequenza leggermente superiore nelle donne che
usano la pillola combinata, ma non è noto se questo sia dovuto al trattamento. Ad esempio, è possibile
che vengano scoperti più tumori nelle donne che usano la pillola combinata perché vengono visitate più
spesso. Il rischio di cancro alla mammella diminuisce gradualmente dopo l’interruzione della
contraccezione ormonale combinata. È importante che controlli regolarmente il suo seno e deve
contattare il medico se sente qualsiasi nodulo.
Nelle donne che usano la pillola sono stati osservati in rari casi tumori epatici benigni, e ancora più
raramente tumori epatici maligni. In casi isolati, questi tumori hanno portato ad emorragie interne
pericolose per la vita. Contatti il medico se avverte un dolore addominale particolarmente intenso.
Alcuni studi suggeriscono che l’uso a lungo termine della pillola aumenti il rischio di sviluppare un
cancro della cervice. Tuttavia, non è chiaro fino a che punto il comportamento sessuale o altri fattori
quali il papilloma virus umano (HPV) aumentino questo rischio.
Disturbi psichiatrici
Alcune donne che usano contraccettivi ormonali tra cui Estradiolo valerato/Dienogest hanno segnalato
depressione o umore depresso. La depressione può essere grave e a volte può portare a pensieri suicidari.
Se si verificano cambiamenti d’umore e sintomi depressivi, si rivolga al più presto al medico per ricevere
ulteriori consigli medici.
Sanguinamento intermestruale
Durante i primi mesi di assunzione di Damsel, si possono verificare sanguinamenti inattesi. Di solito il
sanguinamento inizia il giorno 26, il giorno in cui assume la seconda compressa di colore marrone, o
nei giorni successivi. L’informazione fornita dai diari tenuti dalle donne durante uno studio clinico con
Estradiolo valerato/Dienogest mostra che non è insolito avere sanguinamenti inattesi in un dato ciclo
(10-18% delle utilizzatrici). Se si verificano sanguinamenti inattesi per più di 3 mesi consecutivi, o se
questi compaiono dopo qualche mese, il medico deve ricercarne la causa.
Cosa fare se non compare la mestruazione al giorno 26 o nei giorni seguenti
L’informazione fornita dai diari tenuti dalle donne durante uno studio clinico con Estradiolo
valerato/Dienogest mostra che non è insolito che il giorno 26 non compaia la mestruazione (osservato
in circa il 15% dei cicli).
Se ha preso tutte le compresse correttamente, non ha avuto vomito o grave diarrea e non ha preso altri
medicinali, è altamente improbabile che sia incinta.
Se le mestruazioni non compaiono per due volte consecutive o se non ha preso correttamente le
compresse, potrebbe essere incinta. Contatti immediatamente il medico. Non cominci la confezione
successiva finché non è sicura di aver escluso la gravidanza.
Altri medicinali e Damsel
Informi sempre il medico dei medicinali o dei prodotti erboristici che sta già assumendo .Informi
anche qualsiasi altro medico o dentista che le prescrive altri medicinali (o il farmacista da cui ha
ricevuto il medicinale) che sta prendendo Damsel. Essi possono dirle se ha bisogno di adottare
ulteriori misure contraccettive (per esempio il preservativo) e, nel caso, per quanto tempo.
Alcuni medicinali
- possono influire sui livelli di Damsel nel sangue
- possono renderlo meno efficace nel prevenire la gravidanza
- possono causare sanguinamenti inattesi.
Questi includono:
o medicinali usati per il trattamento di:
- epilessia (es: primidone, fenitoina, barbiturici, carbamazepina, oxcarbazepina, topiramato, felbamato);
- tubercolosi (es: rifampicina);
- infezione da virus HIV e virus Epatite C (ritonavir, nevirapina, efavirenz conosciuti come inibitori delle proteasi ed inibitori della transcrittasi inversa non nucleosidici);
- virus dell’epatite C (HCV) (come regime di combinazione con ombitasvir/paritaprevir/ritonavir con o senza dasabuvir, e regime glecaprevir/pibrentasvir) possono causare aumenti nei risultati di test della funzionalità epatica (aumento dell’enzima epatico ALT ) in donne che utilizzano COC contenenti etinilestradiolo. Damsel contiene estradiolo anziché etinilestradiolo. Non è noto se si possa verificare un aumento dell’enzima ALT del fegato quando si utilizza Damsel con questo regime di associazione contro l’HCV. Il medico le darà le istruzioni necessarie;
- infezioni fungine (ad esempio griseofulvina, ketoconazolo); o il preparato erboristico a base di erba di S. Giovanni.
Damsel può influenzare l’effettodi altri medicinali, per esempio:
o medicinali contenenti ciclosporina;
o l’antiepilettico lamotrigina (questo può causare un aumento della frequenza delle crisi
epilettiche).
Chieda consiglio al medico o al farmacista prima di prendere qualsiasi medicinale. Il medico o il
farmacista possono dirle se ha bisogno di adottare ulteriori misure protettive durante l’assunzione di
Damsel insieme ad altri medicinali.
Damsel con cibo
Damsel può essere assunto con o senza cibo.
Analisi di laboratorio
Se ha bisogno di un esame del sangue o di altri esami di laboratorio, informi il medico o il personale del
laboratorio che sta prendendo la pillola, perché i contraccettivi orali possono influenzare i risultati di
alcune analisi.
Gravidanza e allattamento
Durante la gravidanza, non deve usare Damsel. Nel caso di insorgenza di una gravidanza durante
l’assunzione di Damsel, deve sospendere immediatamente il trattamento e contattare il medico. Se vuole
intraprendere una gravidanza, può sospendere l’assunzione di Damsel in qualsiasi momento (vedere
anche “ Se interrompe il trattamento con Damsel”).
Generalmente non deve assumere Damsel durante l’allattamento. Se desidera prendere la pillola durante
l’allattamento, dovrà rivolgersi al medico.
Chieda consiglio al medico o al farmacista prima di prendere qualsiasi medicinale durante la
gravidanza o l’allattamento.
Guida di veicoli e utilizzo di macchinari
Non ci sono motivi per ritenere che Damsel influenzi la capacità di guidare veicoli o di utilizzare
macchinari.
Damsel contiene lattosio
Se il medico le ha diagnosticato una intolleranza ad alcuni zuccheri, contatti il suo medico prima di
prendere Damsel.
3. Come prendere Damsel
Ogni blister contiene 26 compresse colorate attive e 2 compresse bianche inattive.
Prenda una compressa di Damsel ogni giorno. Può prendere le compresse con o senza cibo, ma deve
prenderle circa alla stessa ora ogni giorno.
Preparazione della confezione
Per aiutarla a rispettare la corretta sequenza, le compresse sono contrassegnate sul lato in alluminio con
un numero e una freccia che indica l'ordine di assunzione. Inizi con la compressa numero 1 e segua la
direzione della freccia sul blister fino a quando non ha assunto tutte le 28 compresse.
Di solito la cosiddetta emorragia da sospensione, inizia quando sta prendendo la seconda compressa
marrone o le compresse bianche, e potrebbe non essere ancora terminata prima che inizi il blister
successivo. Alcune donne hanno ancora la mestruazione anche dopo aver già preso le prime
compresse del nuovo blister.
Inizi il blister successivo senza intervallo, cioè il giorno dopo aver finito l’attuale blister, anche se la
mestruazione non è ancora finita.
Se usa Damsel in questo modo, l’azione contraccettiva è garantita anche durante i 2 giorni in cui sta
prendendo le compresse inattive.
Quando si può iniziare il primo blister
- Se non si è fatto uso di un contraccettivo ormonale nel mese precedente.Inizi a prendere Damsel il primo giorno del ciclo (il primo giorno della mestruazione).
- Passaggio da un’altra pillola contraccettiva ormonale combinata, o da un anello contraccettivocombinato vaginale, o cerotto,.Inizi a prendere Damsel il giorno dopo l’ultima compressa attiva (l’ultima compressa contenente i principi attivi) della precedente pillola. Quando passa da un anello contraccettivo vaginale o da un cerotto, inizi ad usare Damsel il giorno della rimozione o segua i consigli del medico.
- Passaggio da un metodo con solo progestinico (pillola a base solo di progestinico, iniezione,impianto o IUS a rilascio di progestinico, sistema intrauterino).Può passare in qualsiasi giorno dalla pillola a base di solo progestinico (da un impianto o dal IUS il giorno della sua rimozione, dall’iniettabile quando sarebbe prevista la successiva iniezione), ma deve in tutti questi casi adottare misure contraccettive aggiuntive (ad esempio il preservativo) per i primi 9 giorniin cui usa Damsel.
- Dopo un aborto.Segua i consigli del medico.
- Dopo un parto.Può iniziare l’assunzione di Damsel tra il 21° e il 28° giornodopo il parto. Se inizia l’assunzione più tardi del 28° giorno, usi un metodo di barriera (ad esempio il preservativo) durante i primi 9 giornidi assunzione di Damsel. Se, dopo un parto, ha avuto rapporti prima di iniziare l’assunzione di Damsel, deve escludere una gravidanza o deve aspettare la mestruazione successiva. Se vuole iniziare l’assunzione di Damsel dopo una gravidanza e allatta, legga il paragrafo “ Gravidanza e allattamento”. Chieda consiglio al medico se non è sicura su quando iniziare.
Se prende più Damsel di quanto deve
Non ci sono segnalazioni di effetti nocivi gravi se si prendono più compresse di Damsel.
Nel caso di assunzione di parecchie compresse in una volta sola, può avere nausea o vomito. Le
ragazze giovani possono avere sanguinamento vaginale.
Se ha assunto troppe compresse di Damsel, o scopre che qualche compressa è stata assunta da un
bambino si rivolga immediatamente al medico o al farmacista.
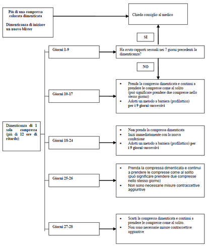
Se dimentica di prendere Damsel
Compresse inattive: se dimentica una compressa bianca (le due compresse alla fine del blister), non ha
bisogno di prenderle successivamente perché non contengono alcun principio attivo. Tuttavia, è
importante che scarti la(le) compressa(e) bianca(che) dimenticata(e) così da essere sicura che il numero
di giorni di assunzione delle compresse inattive non sia aumentato; ciò aumenterebbe il rischio di
gravidanza. Continui con la compressa successiva al solito orario.
Compresse attive: in base al giorno del ciclo in cui unacompressa attiva è stata dimenticata, deve
adottare misure contraccettive aggiuntive, ad esempio un metodo di barriera come il preservativo.
Prenda le compresse seguendo le indicazioni riportate di seguito. Per dettagli vedere anche il
"diagramma delle pillole dimenticate".
- Se il ritardo nell’assunzione di una compressa è inferiore a 12 ore, la protezione contraccettiva non viene ridotta. Prenda la compressa appena se ne ricorda e quindi prenda le compresse successive al solito orario.
- Se il ritardo nell’assunzione di una compressa è superiore a 12 ore, la protezione contraccettiva può essere ridotta. A seconda del giorno del ciclo in cui è avvenuta la dimenticanza, deve adottare misure contraccettive aggiuntive, ad esempio un metodo di barriera come il preservativo. Per dettaglivedere anche il "diagramma delle pillole dimenticate".
- Più di una compressa dimenticata in un blister.Si rivolga al medico.
Non deve prendere più di 2 compresse attive in un giorno.
Se si è dimenticata di iniziare un nuovo blister, o se ha dimenticato una o più compresse durante i giorni
3-9del blister, c’è il rischio che sia incinta (se ha avuto rapporti sessuali nei 7 giorni prima di dimenticare
la compressa). In questo caso, si rivolga al medico. Maggiore è il numero di compresse dimenticate
(specialmente quelle nei giorni 3-24) e più tale dimenticanza è vicina alla fase delle compresse inattive,
maggiore è il rischio che la protezione contraccettiva sia ridotta. Per dettagli, vedere anche il
"diagramma compresse dimenticate".
Se ha dimenticato una qualsiasi delle compresse attive di un blister e non ha avuto la mestruazione alla
fine del blister potrebbe essere incinta. Si rivolga al medico prima di iniziare il blister successivo.

Utilizzo nei bambini
Non sono disponibili dati nelle adolescenti al di sotto dei 18 anni.
Cosa fare in caso di vomito o diarrea grave
Se vomita entro 3-4 ore dall’assunzione di una compressa attiva, o in caso di grave diarrea, è possibile
che i principi attivi della pillola non vengano assorbiti completamente dal suo organismo.
La situazione è quindi paragonabile a quella che si verifica quando si dimentica di prendere una
compressa. Dopo vomito o diarrea grave dovrà prendere la compressa successiva al più presto. Se
possibile entro 12 ore dall’ora consueta di assunzione della pillola. Se questo non è possibile, oppure se
sono già trascorse 12 ore, deve seguire le indicazioni riportate in “Se dimentica di prendere Damsel” Se
non vuole cambiare il suo normale schema di assunzione, prenda la corrispondente compressa da un
altro blister.
Se interrompe il trattamento con Damsel
Può interrompere l’assunzione di Damsel in qualsiasi momento. Se vuole ancora evitare una gravidanza,
si rivolga al medico per consigli su altri metodi contraccettivi sicuri. Se vuole intraprendere una
gravidanza, interrompa l’assunzione di Damsel e aspetti un ciclo mestruale prima di provare a ricercare
una gravidanza. Potrà così calcolare più esattamente la data presunta del parto.
Se ha qualsiasi dubbio sull’uso di questo medicinale, si rivolga al medico o al farmacista.
4. Possibili effetti indesiderati
Come tutti i medicinali, Damsel può causare effetti indesiderati sebbene non tutte le persone li
manifestino. Se presenta un qualsiasi effetto indesiderato, specialmente se grave o persistente, o se
avviene un qualche cambiamento nella sua salute che pensa potrebbe essere dovuto a Damsel, informi
il medico.
Un maggior rischio di sviluppare coaguli sanguigni nelle vene (tromboembolia venosa (TEV)) o coaguli
sanguigni nelle arterie (tromboembolia arteriosa (TEA)) è presente in tutte le donne che prendono
contraccettivi ormonali combinati. Per informazioni più dettagliate sui diversi rischi derivanti
dall’assunzione di contraccettivi ormonali combinati, vedere paragrafo 2 “Cosa deve sapere prima di
usare Damsel”.
Effetti indesiderati gravi
Le reazioni gravi associate all’uso della pillola, così come i sintomi correlati, sono descritti nei seguenti
paragrafi: “ Coaguli sanguigni”e “ Damsel e il cancro”. Legga attentamente questi paragrafi e consulti
il medico immediatamente se necessario.
Altri possibili effetti indesiderati
I seguenti effetti indesiderati sono stati associati con l’uso di Damsel:
Effetti indesiderati comuni (possono interessare tra 1 e 10 utilizzatrici su 100)
- mal di testa
- dolore addominale, nausea
- acne
- assenza di mestruazioni, senso di fastidio al seno, mestruazioni dolorose, mestruazioni irregolari (con abbondante sanguinamento irregolare)
- aumento di peso.
Effetti indesiderati non comuni (possono interessare tra 1 e 10 utilizzatrici su 1 000)
- infezione fungina, infezione fungina della vulva e della vagina, infezione vaginale
- aumento dell’appetito
- depressione, umore depresso, disturbo emozionale, difficoltà a dormire, diminuzione del desiderio sessuale, disturbo mentale, sbalzi d’umore
- capogiro, emicrania
- vampate di calore, pressione alta
- diarrea, vomito
- aumento degli enzimi epatici
- perdita dei capelli, sudorazione eccessiva (iperidrosi), prurito, eruzione cutanea
- crampi muscolari
- ingrossamento del seno, noduli al seno, crescita cellulare anormale nel collo dell’utero (displasia della cervice uterina), sanguinamento disfunzionale genitale, dolore durante i rapporti, mastopatia fibrocistica, mestruazioni abbondanti, disturbi mestruali, ciste ovarica, dolore pelvico, sindrome premestruale, tumore benigno dell’utero, contrazioni dell’utero, sanguinamento uterino/vaginale incluso lo spotting, secrezione vaginale, secchezza vulvovaginale
- affaticamento, irritabilità, gonfiore di alcune parti del corpo, per esempio le caviglie (edema)
- perdita di peso, cambiamenti della pressione del sangue.
Effetti indesiderati rari (possono interessare tra 1 e 10 utilizzatrici su 10 000)
- infezione da candida, herpes orale, malattia infiammatoria pelvica, una malattia vascolare dell’occhio che assomiglia ad un’infezione fungina (presunta sindrome dell’istoplasmosi oculare), una infezione fungina della cute ( tinea versicolor), infezione delle vie urinarie, infiammazione batterica della vagina
- ritenzione idrica, aumento di certi grassi del sangue (trigliceridi)
- aggressività, ansia, sensazione di infelicità, aumento del desiderio sessuale, nervosismo, incubi, irrequietezza, disturbi del sonno, stress
- riduzione dell’attenzione, sensazione di “formicolii”, vertigine
- intolleranza alle lenti a contatto, secchezza degli occhi, occhi gonfi
- attacco di cuore (infarto del miocardio), palpitazioni
- sanguinamento da una vena varicosa, pressione bassa, infiammazione di vene superficiali, dolore alle vene
- coaguli sanguigni pericolosi in una vena o in un’arteria, ad esempio: o in una gamba o in un piede (TVP) o in un polmone (EP) o attacco cardiaco o ictus o mini-ictus o sintomi temporanei simili a quelli dell’ictus, noti come attacco ischemico transitorio (TIA) o coaguli sanguigni nel fegato, nello stomaco/intestino, nei reni o nell’occhio. La possibilità di sviluppare un coagulo sanguigno può essere superiore se presenta una qualsiasi altra condizione che aumenta tale rischio (vedere paragrafo 2 per maggiori informazioni sulle condizioni che aumentano il rischio di coaguli sanguigni e i sintomi di un coagulo sanguigno).
- costipazione, bocca secca, cattiva digestione, bruciore di stomaco
- noduli epatici (iperplasia nodulare focale), infiammazione cronica della cistifellea
- reazioni allergiche cutanee, macchie giallo-brune (cloasma) e altre patologie della pigmentazione, crescita di peli con modello maschile , eccessiva crescita dei peli, patologie della cute quali: dermatite e neurodermatite, forfora e pelle grassa (seborrea) e altre patologie della cute
- mal di schiena, dolore alla mascella, sensazione di pesantezza
- dolore alle vie urinarie
- sanguinamento anomalo da interruzione, noduli benigni del seno, cancro al seno in stadio iniziale, cisti del seno, secrezione mammaria, polipo del collo dell’utero, arrossamento del collo dell’utero, sanguinamento durante i rapporti, secrezione spontanea di latte dal seno, secrezione
genitale, mestruazioni scarse, ritardo mestruale, rottura di cisti ovarica, perdite vaginali
maleodoranti, sensazione di bruciore alla vulva e alla vagina, fastidio vulvovaginale
- linfonodi gonfi
- asma, difficoltà di respirazione, sangue dal naso
- dolore al petto, stanchezza e sensazione generale di malessere, febbre
- Pap test (striscio) della cervice uterina anormale
Ulteriori informazioni (prese dai diari tenuti dalle donne durante uno studio clinico con estradiolo
valerato/dienogest) sui possibili effetti indesiderati “mestruazioni irregolari ( abbondante
sanguinamento irregolare)” e “assenza di mestruazioni” sono riportate nei paragrafi “Sanguinamento
intermestruale” e “Cosa fare se non compare la mestruazione al giorno 26 o nei giorni seguenti”.
Descrizione di reazioni avverse selezionate
Le reazioni avverse che hanno frequenza molto bassa o che hanno una manifestazione ritardata e che
sono ritenute essere collegate a quelle dei contraccettivi orali combinati, potrebbero verificarsi anche
durante l’utilizzo di Damsel e sono elencate sotto (vedere anche le sezioni “Quando non deve prendere
Damsel”, “Avvertenze e precauzioni”):
- tumori al fegato (benigni o maligni)
- eritema nodoso (noduli morbidi rossi sottocute), eritema multiforme (eruzione cutanea con macchie rosse o lesioni)
- ipersensibilità (inclusi sintomi come rash, orticaria)
- nelle donne con angioedema ereditario (caratterizzato da improvviso gonfiore ad esempio degli occhi, bocca, gola, ecc.) gli estrogeni contenuti nelle pillole contraccettive orali combinate possono provocare o peggiorare i sintomi dell’angioedema.
Nel caso in cui la funzionalità del fegato sia alterata, potrebbe essere necessario interrompere
temporaneamente l’utilizzo delle pillole contraccettive combinate.
Segnalazione degli effetti indesiderati:
Se manifesta un qualsiasi effetto indesiderato, compresi quelli non elencati in questo foglio, si rivolga
al medico o al farmacista. Lei può inoltre segnalare gli effetti indesiderati direttamente tramite il sistema
nazionale di segnalazione all’indirizzo https://www.aifa.gov.it/content/segnalazioni-reazioni-avverse.
Segnalando gli effetti indesiderati lei può contribuire a fornire maggiori informazioni sulla sicurezza di
questo medicinale.
5. Come conservare Damsel
Conservi questo medicinale fuori dalla vista e dalla portata dei bambini.
Questo medicinale non richiede nessuna particolare condizione di conservazione.
Non usi questo medicinale dopo la data di scadenza che è riportata sulla confezione dopo “SCAD”. La
data di scadenza si riferisce all’ultimo giorno di quel mese.
Non getti alcun medicinale nell’acqua di scarico e nei rifiuti domestici. Chieda al farmacista come
eliminare i medicinali che non utilizza più. Questo aiuterà a proteggere l’ambiente.
6. Contenuto della confezione e altre informazioni
Cosa contiene Damsel
I principi attivi sono estradiolo valerato, o estradiolo valerato combinato con dienogest.
Ogni blister (28 compresse rivestite con film) di Damsel contiene 26 compresse attive in 4 colori diversi
nelle file 1, 2, 3 e 4 nonché 2 compresse inattive bianche nella fila 4.
Composizione delle compresse colorate contenenti uno o due principi attivi:
2 compresse giallo scuro contenenti ciascuna 3 mg di estradiolo valerato
5 compresse rosa contenenti ciascuna 2 mg di estradiolo valerato e 2 mg di dienogest
17 compresse giallo chiaro contenenti ciascuna 2 mg di estradiolo valerato e 3 mg di dienogest
2 compresse marroni contenenti ciascuna 1 mg di estradiolo valerato
Composizione delle compresse bianche inattive:
Queste compresse non contengono nessun principio attivo.
Altri eccipienti delle compresse colorate attive sono:
Nucleo della compressa: lattosio monoidrato, amido di mais, amido di mais pregelatinizzato, povidone
(E1201), silice colloidale anidra, magnesio stearato (E572).
Rivestimento della compressa: ipromellosa (E464), macrogol 6000, ferro ossido rosso (E172), titanio
diossido (E 171), talco (E553b), ferro ossido giallo (E172).
Gli eccipienti delle compresse inattive bianche sono:
Nucleo della compressa: lattosio monoidrato, cellulosa microcristallina, magnesio stearato (E572).
Rivestimento della compressa: alcool polivinilico parzialmente idrolizzato, titanio diossido (E 171),
macrogol 3350, talco (E553b).
Descrizione dell’aspetto di Damsel e contenuto della confezione
Le compresse di Damsel sono compresse rivestite con film; il nucleo della compressa è ricoperto con
un rivestimento.
Ogni blister (28 compresse rivestite con film) contiene 2 compresse giallo scuro nella 1° fila, 5
compresse rosa nella 1° fila, 17 compresse giallo chiaro nella 2°, 3° e 4° fila, 2 compresse marroni
nella 4° fila e 2 compresse bianche inattive nella 4° fila.
La compressa attiva giallo scuro è una compressa rivestita con film rotonda, biconvessa, con impresso
"L" su un lato.
La compressa attiva rosa è una compressa rivestita con film rotonda, biconvessa, con impresso "L" su
un lato.
La compressa attiva giallo chiaro è una compressa rivestita con film rotonda, biconvessa, con impresso
"L" su un lato.
La compressa attiva marrone è una compressa rivestita con film rotonda, biconvessa, con impresso "L"
su un lato.
La compressa inattiva bianca è una compressa rivestita con film rotonda, biconvessa, con impresso "PL"
su un lato.
Damsel è disponibile in confezioni da 1, 3 o 6 blister, ciascuna contenente 28 compresse.
È incluso un astuccio di cartone per la conservazione del blister.
È possibile che non tutte le confezioni siano commercializzate.
Titolare dell’autorizzazione all’immissione in commercio
S.F. GROUP S.r.l.
Via Tiburtina, 1143
00156 Roma, Italia
Produttori
Cyndea Pharma S.L.
Avenida Agreda 31
Polígono Industrial Emiliano Revilla Sanz
Ólvega, Soria
42110 Spagna
Questo medicinale è autorizzato negli Stati Membri dello Spazio Economico Europeo con le
seguenti denominazioni:
Svezia:Rubinia
Italia:Damsel
- Paese di registrazione
- Forma farmaceuticaCompressa rivestita con film, 3 MG + 2MG/2 MG + 2 MG/3 MG + 1 MG + 0 MG
- Codice ATCG03AB08
- Principio attivo
- Prescrizione richiestaSì
- Produttore
- Queste informazioni sono solo a scopo informativo e non costituiscono un parere medico. Consulta sempre un medico prima di assumere qualsiasi medicinale. Oladoctor non è responsabile delle decisioni mediche basate su questo contenuto.
- Alternative a DAMSELForma farmaceutica: Compressa rivestita con film, 3 MG + 2MG/2 MG + 2 MG/3 MG + 1 MG + 0 MGPrincipio attivo: dienogest and estradiolProduttore: FARMITALIA INDUSTRIA CHIMICO FARMACEUTICA S.R.L.Prescrizione richiestaForma farmaceutica: Compressa rivestita con filmPrincipio attivo: dienogest and estradiolProduttore: BAYER S.P.A.Prescrizione richiestaForma farmaceutica: Compressa rivestita con film, 3 MG + 2MG + 2 MG + 1 MGPrincipio attivo: dienogest and estradiolProduttore: EXELTIS ITALIA S.R.L.Prescrizione richiesta
Medici online per DAMSEL
Valutazione del dosaggio, effetti indesiderati, interazioni, controindicazioni e rinnovo della prescrizione di DAMSEL — soggetto a valutazione medica e alle normative locali.
Ottieni una ricetta per DAMSEL online
Compila un modulo di 2 minuti
Raccontaci i tuoi sintomi, la tua storia clinica e il medicinale che stai richiedendo.
Scegli un medico o lascia che lo assegniamo noi
Scegli uno specialista o ti abbineremo al primo medico disponibile.
Il medico esamina il tuo caso
Di solito entro 30 minuti. Potrebbe farti domande aggiuntive via chat.
Ritira la ricetta in qualsiasi farmacia
Ricetta elettronica inviata alla tua email — valida in tutta la Spagna.
Domande frequenti
Rimani aggiornato su Oladoctor
Novità su nuovi servizi, aggiornamenti del prodotto e contenuti utili per i pazienti.